Oral-Facial Illustrations and Reference Guide (ebook)
4 reviews
$19.95
(Please scroll down to read or write a review!)
In therapy, child-friendly visuals help illustrate therapy concepts. And you have over 60 to choose from In this ebook. Visual images to ensure your client understands your instructions.
Practical info-pages accompany the visuals to describe the oral mechanism and speech sound productions. Following are the topics within this ebook:
The Lips and Oral Cavity
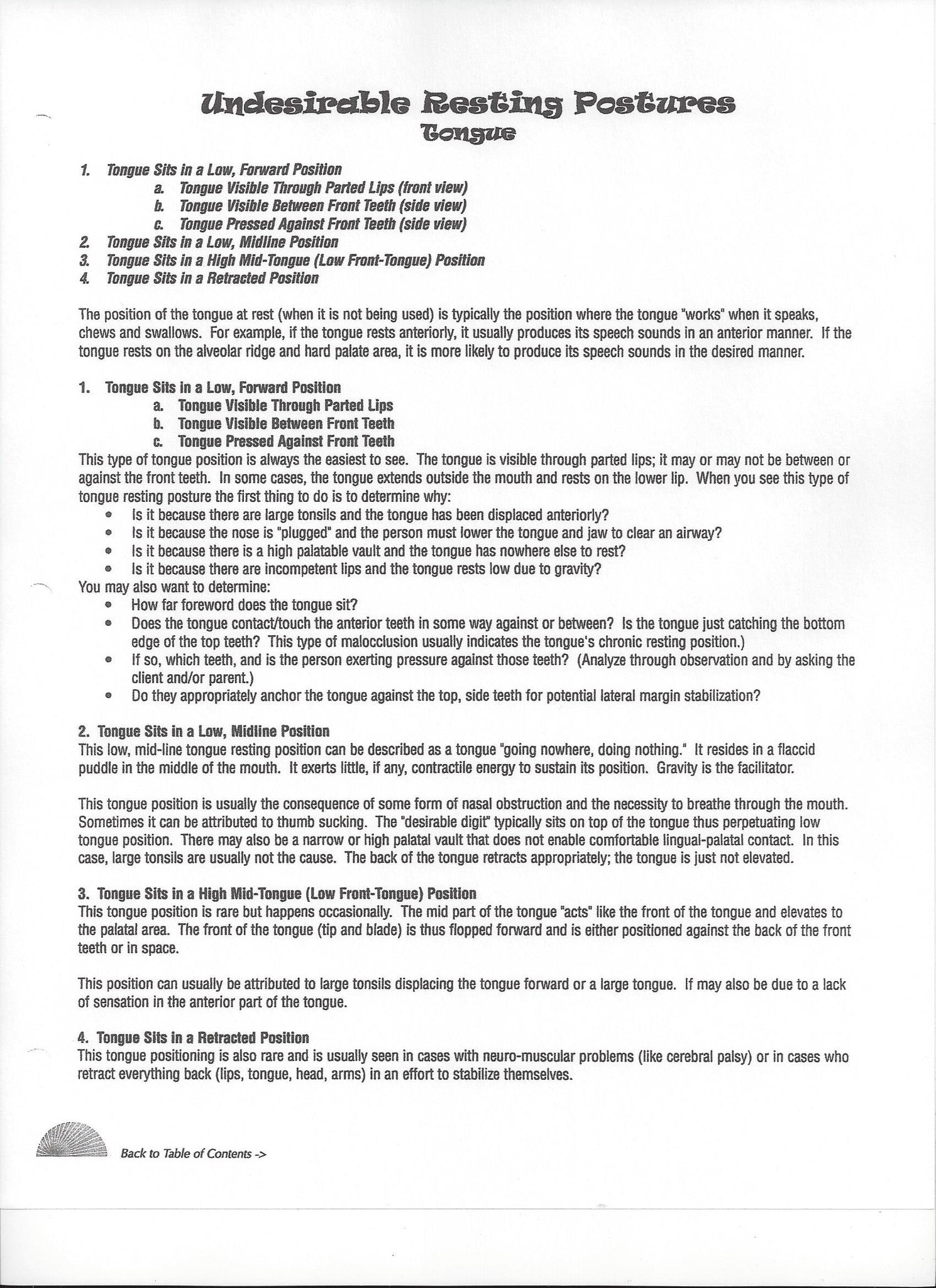
The Tongue and Frenum
Dental Development Timeline
Dental Malocclusions
The Hard and Soft Palates
The Pharynx and Tonsils
Facial Shapes and Oral Resting Postures
Tongue Placement for Speech Sounds
And MORE!
Use the illustrations and reference pages in therapy or as instruction references for parents and teachers.
A picture is worth a thousand words…maybe more during therapy. Hundreds of SLPs have used the Oral-Facial Illustrations and Reference Guide in their therapy and love its helpful practicality. Written by Char Boshart, M.A., CCC-SLP; Illustrations by Akie Hayashi.
#EOF
Price: $19.95
This is an immediate-use (pdf) e-book that can be downloaded, printed, and used in your therapy tomorrow.
My new go to for clinical help AND visuals to show my clients. I wish this resource had been known to me and REQUIRED in grad school. It should be on every SLP’s desk.
S
Stephanie Garrett
Oral-Facial Illustrations and Reference Guide (ebook)
A
Angela Rogers
Oral Facial Illustrations
Great product!!!
T
Tricia
AWESOME
CHAR has a unique way of making the intangible TANGIBLE and simple to teach!
Catherine Overbay
Very helpful tool for a more in-depth analysis than standardized measures often provide!
Deep Screening Probes: r, s, l, th, f, sh and ch, k and g (e-book)
Rachel Bashkoff
Simple to administer
Very easy to use with clients
The Easy R Therapy Program
Jada Smith
Speech Pictures! Analysis & Therapy Review
I recommend this resource as it's concise and full of speech strategies for each sound. It's a great resource to keep on hand and I really like the visuals provided for each phoneme to help my students with placement.
Speech Pictures! Analysis & Therapy (ebook)
Sophia Morton
Love the book! I am already using it regularly with all my clients
R Speech Practice
Carey Eaton
Deep Screening Probes: r, s, l, th, f, sh and ch, k and g (e-book)
Deep Screening Probes: r, s, l, th, f, sh and ch, k and g (e-book)
I recommend this resource as it's concise and full of speech strategies for each sound. It's a great resource to keep on hand and I really like the visuals provided for each phoneme to help my students with placement.